• Revista Internacional de Investigación en Adicciones 2023 Vol. 9 (2)
  • ISSN print: 2448-573X
  • ISSN on-line: 2448-6396
  • DOI: 10.28931/riiad.2023.2.07
  • Fecha de recepción: 15 de julio de 2023
    Fecha de aceptación: 1 de Agosto de 2023

Original article

Early Life Parent-Child Positive Interactions (Points) Prevent the Development of Psychiatric Symptoms

Alejandra E. Ruiz Contreras 1 , Jehú I. López-Juárez 2 , Talía V. Román-López 1 , Ulises Caballero-Sánchez 1 , Ivett Ortega-Mora 1 , Mónica Méndez Díaz 2 , Andrea Herrera-Solís 3 , Felipe Vadillo-Ortega 4 , Oscar E. Prospéro García 2

1 Laboratorio de Neurogenómica Cognitiva, Coordinación de Psicobiología y Neurociencias, Facultad de Psicología, UNAM.

2 Laboratorio de Cannabinoides, Departamento de Fisiología, Facultad de Medicina, Universidad Nacional Autónoma de México (UNAM).

3 Laboratorio Efectos Terapéuticos de los Cannabinoides, Hospital General Dr. Manuel Gea González, Secretaría de Salud.

4 Dirección de Investigación y Unidad de Vinculación de la Facultad de Medicina, UNAM, Instituto Nacional de Medicina Genómica. CDMX, México.

Autor de correspondencia: Oscar Prospéro-García. Departamento de Fisiología, Facultad de Medicina, Universidad Nacional Autónoma de México. México. Phone: (52-55) 5623 2509. Correo electrónico: opg@unam.mx

Abstract

Introduction: early life positive parent/child interactions (points) nuance the child’s behavior when coping with adversity.

Objective: to contrast parent-child points and negative interactions (no-points) to determine their potential impact on resilience, academic achievement (AA), and current psychiatric symptoms.

Method: points and no-points were contrasted to determine their impact on resilience, academic achievement (AA), and current psychiatric symptoms in young students (n = 115; mean = 20.56 years, SD = 1.85).

Results: of all the students interviewed, 61.73% reported being raised from both parents with no-points (negligent care, NC) and/or overprotection, while the rest (38.26%) were raised with points (optimal care, OC) and no overprotection. Half of the NC subjects suffered abuse (NC+A). OC induced higher AA and resilience, less insomnia and depression/anxiety symptoms, and fewer number of drugs of abuse than NC or NC+A. NC and NC+A were risk factors for mild, moderate, and severe symptoms of depression, anxiety, and insomnia; and NC+A were more likely to consume three or more drugs.

Discussion and conclusions: raising children with points makes them resourceful and resilient to psychiatric disorders and better able to meet social and academic demands throughout life. Psychoeducation about the impact of early-life negative psychosocial interactions on adult life will promote points and social adaptation.

Key words: positive parent-child interactions (points), negative interactions (no-points), negligent care, optimal care, positive parenting, sleep hygiene, mental health, resiliency, children abuse.

Resumen

Introducción: las interacciones tempranas positivas (points) entre padres e hijos matizan el comportamiento del niño al enfrentar la adversidad.

Objetivo: contrastar los puntos de interacción entre padres e hijos y las interacciones negativas (no-points) para determinar su impacto potencial en la longanimidad, el rendimiento académico (RA) y los síntomas psiquiátricos actuales.

Método: se contrastaron los points y no-points para determinar su impacto en la longanimidad, el rendimiento académico (RA) y los síntomas psiquiátricos actuales en estudiantes jóvenes (n = 115; promedio = 20.56 años, DE = 1.85).

Resultados: de todos los estudiantes entrevistados, el 61.73% informó haber sido criado por ambos padres con no-points (cuidado negligente, CN) y/o sobreprotección, mientras que el resto (38.26%) fue criado con points (cuidado óptimo, CO) y sin sobreprotección. La mitad de los sujetos con CN sufrió abuso (CN+A). CO indujo un RA y longanimidad más altos, menos síntomas de insomnio y depresión/ansiedad, y menos consumo de drogas de abuso que CN o CN+A. CN y CN+A fueron factores de riesgo para síntomas leves, moderados y graves de depresión, ansiedad e insomnio; y los sujetos con CN+A tenían más probabilidades de consumir tres o más drogas.

Discusión y conclusiones: criar a los niños con points los hace tener recursos adaptativos y longánimos frente a trastornos psiquiátricos y mejor preparados para enfrentar las demandas sociales y académicas a lo largo de la vida. La psicoeducación sobre el impacto que las interacciones psicosociales negativas tempranas en la vida adulta tienen y su prevención, promueven una mejor adaptación social.

Palabras clave: interacciones positivas (points) entre padres e hijos, interacciones negativas (no-points), cuidado negligente, cuidado óptimo, crianza positiva, higiene del sueño, salud mental, longanimidad, abuso infantil.

INTRODUCTION

Living in groups has been key to mankind’s evolution (Dunbar, 2016). History has shown that human groups cope with environmental pressure more successfully than single humans do. Although the psychosocial interactions of the members of an in-group have positive outcomes (i.e., survival), such interactions may also induce negative ones (i.e., stigma and rejection). As newborns, humans depend on parental care, and as children and teenagers they depend on parental and other caregivers’ care. Teenagers are particularly sensitive to peer influence (Kilford et al., 2016). They may sometimes perceive these psychosocial interactions as negative, regardless of whether they actually are (Beck, 1963; Cyrulnik, 2021). Despite whether the subjects perceive these interactions as positive (points) or negative (no-points), they undergo brain reprogramming—epigenetic mechanisms—to generate strategies to cope with these real or imagined points/no-points (Barker, 2018; Dunn et al., 2019; Sumner et al., 2022). Interaction with parents, primary caregivers and peers during childhood and adolescence imprints important epigenetic changes (McEwen, 2003; Saavedra et al., 2016) that reprogram the brain by tailoring the connectome, like rewiring the connectome by strengthening synapsis and even generating new ones or pruning them (Weaver et al., 2004; Bennett et al., 2018).

For this study, information was gathered about points/no-points volunteers (men and women) and their parents, developed when they were children and teenagers (from as early in life as they could remember, to the age of 16). These experiences were related to their resilience and academic achievements as evidence of learning and memory functions to infer how successful they currently are. By the same token, insomnia and anxiety symptoms, and drug consumption were evaluated as indicators of their mental health. Cortisol and oxytocin were determined as indicators of stress and bonding, respectively. Among the instruments used were the Parental Bonding Inventory (PBI), the short form of the Childhood Trauma Questionnaire (CTQ-SF), the Beck Anxiety and Depression Inventories (BAI and BDI, respectively), the Athens Insomnia Scale (AIS), the Resilience Scale for the Mexican Population (RESI-M), and a Detection of Use of Psychoactive Substances (DUPS). Volunteers also provided their academic achievements (AA) in each level of education completed, and a saliva sample to determine cortisol and oxytocin. It was expected for participants who reported parent/child points during their first 16 years of age to exhibit better outcomes in all the questionnaires than those reporting no-points. Likewise, higher oxytocin and lower cortisol levels were expected in participants with parent-child points when compared to those with no-points.

METHOD

Participants

A total of 115 volunteer undergraduate students (69 female; mean age = 20.56 years, SD = 1.85) were included. They were invited to participate in this study by means of flyers, Facebook and word of mouth. In order to be included, they had to be regular students at any university in Mexico City, between 18 and 24 years old, and they had to sign an informed consent letter. This study was approved by the Research and Ethics Committee of the Facultad de Medicina of the Universidad Nacional Autónoma de México. All the procedures followed the ethical standards established in the Declaration of Helsinki, and followed the ethical guidelines in author’s country, established in the NOM-012-SSA3-2012 for research in human beings.

Instruments and Questionnaires

  • General Information Questionnaire: in this questionnaire, the collected information included age, years of schooling and their academic achievements in each academic level.
  • Detection of Use of Psychoactive Substances (DUPS): volunteers were asked about the use of different substances to evaluate drug intake throughout their life. The questionnaire used was based on the MINI International Neuropsychiatric Interview (Spanish version, Ferrando et al., 2000) to determine if volunteers had used illicit substances. The drugs included in the questionnaire were tobacco, alcohol, marijuana, opiates, psychostimulants, inhalants and prescribed anxiolytics. Subjects were asked to answer a three-point Likert scale about their frequency of use of each drug (1 = never; 2 = sometimes; 3 = frequently).
  • Parental Bonding Inventory (PBI): this is an instrument that evaluates the retrospective perception volunteers have about the way each of their parents interacted with them during the first 16 years of their lives, considering attitudes and actions (Parker et al., 1979; Spanish standardized version, Melis et al., 2001). There are 25 items to be answered as a four-point Likert scale for each parent (1 = always; 4 = never). Parental care can be classified into one of four possibilities: neglectful parenting (low care and low overprotection), affectionless control (low care and high overprotection), affectionate constraint (high care and high overprotection) and optimal parenting (high care and low overprotection).
  • Childhood Trauma Questionnaire-Short Form (CTQ-SF): this is a retrospective self-rated instrument which detects potential traumatic childhood experiences, grouped in five types: physical abuse, emotional abuse, sexual abuse, physical neglect and emotional neglect (Bernstein et al., 2011; Spanish standardized version, Mezquita, 2011). This instrument is made up of 25 items that are answered as a five-point Likert scale (1 = never true; 5 = very often true), indicating the frequency in which any of these experiences happened. The cut-off score for detecting physical abuse was 10; emotional abuse, 13; sexual abuse, 8; physical neglect, 10; emotional neglect, 15.
  • Resilience Scale for the Mexican Population (RESI-M): this instrument evaluates the extent to which a subject recognizes whether or not they possess the ability to cope with stressful situations, and has self-reliance and grit to achieve goals (Palomar & Gómez, 2010), as well as the individual’s ability to make friends and get family support. This instrument is made up of 43 items answered as a four-point Likert scale (1 = totally disagree; 4 = totally agree) that are grouped according to five factors: strength and confidence in oneself (i.e., the conviction that one is sufficiently able to cope with any stressful situation); social competence (i.e., the ability to successfully interact in a social environment); family support (i.e., shared time, bonding, strength and loyalty); social support (i.e., social links with communication, solidarity and trust), and structure (i.e., the ability to maintain their own identity, rules and activities to organize daily life despite stressful moments). No cut-offs were described for the RESI-M.
  • Athens Insomnia Scale (AIS): this is a self-rated scale of eight items which explores the difficulty a subject endures to fall asleep and how this condition impacts wakefulness. This scale is based on the International Classification of Disease (ICD) 10 of the World Health Organization and the used version has been validated in Spanish in a Mexican sample (Nenclares & Jiménez-Genchi, 2005). Each item can be rated in a four-point Likert scale (0 = lack of problems; 3 = the most severe condition). The maximum score that can be obtained is 24 points. A cut-off of six points successfully identifies insomnia.
  • Beck Depression Inventory (BDI): this self-rated inventory detects depression symptoms and helps determine its severity in the week before the evaluation. It consists of 21 items answered in a four-point Likert scale (0 = lack of symptom; 3 = the most severe condition). The BDI used in this study was validated in the Mexican population (Jurado et al., 1998). The severity of depression was determined according to the following scores: minimal (0-9 points), mild (10-18 points), moderate (19-29 points), and severe (30-63 points).
  • Beck Anxiety Inventory (BAI): this self-rated inventory detects anxiety symptoms suffered the week before the evaluation and helps determine its severity. It consists of 21 items answered in a four-point Likert scale (0 = lack of symptom; 3 = the most severe condition). The BAI used here was validated in the Mexican population (Robles et al., 2001). The level of anxiety was detected according to the following scores: minimal (0-7 points), mild (8-15 points), moderate (16-30 points), and severe (31-63 points).
  • Academic Achievement (AA): data were obtained from the official certificates that volunteers provided from elementary, middle school, high school and undergraduate degree.
  • Saliva sample analysis: cortisol and oxytocin were measured in volunteers’ saliva. A 6 ml sample was collected between 11:00h and 16:00h, to control cortisol circadian release (Bhake et al., 2019). The sample was collected right after the volunteers signed the informed consent letter and before the application of any of the questionnaires. Since oxytocin does not exhibit a circadian release variation (Kagerbauer et al., 2019), it was measured in this saliva sample. All the samples were measured with the enzyme-linked immunosorbent assay (ELISA). The Enzo Life Sciences ELISA kit for cortisol and oxytocin were used (Enzo Life Sciences, Inc., Farmingdale, New York, USA).

Procedure

Volunteers were asked to sign an informed consent letter. Once they signed the letter, the next step was to collect the saliva sample that was used to estimate cortisol and oxytocin concentrations. Then, a semi structured interview was applied to fill out the General Information Questionnaire, DUPS, PBI, CTQ, BDI, BAI, and AIS questionnaires. The information regarding their AA was collected from their certificates. It is worth noting that in Mexico AA is graded on a scale from 5-10, where 6 is sufficient to accredit a given subject. The rationale and objectives of the study were explained to the volunteers at the end of the experimental session.

Data Analysis

Subjects were classified according to the scores obtained in the parental bonding instrument and CTQ, as follows: perception of parental bonding was classified as optimal vs. low parenting, according to the classification of care and overprotection provided by each parent. When subjects responded that they received optimal parenting from both parents, according to the PBI (i.e., high care and low overprotection) and lacked any type of child abuse, they were grouped into the Optimal Care (OC) group. In contrast, when participants reported they did not receive optimal parenting from any of their parents (i.e., neglectful parenting or affectionless control or affectionate constraint) but were not abused, subjects were grouped into the Negligent Care (NC) group. Finally, when participants reported they did not receive optimal parenting from either one of their parents and reported any type of child abuse, subjects were grouped in the Negligent Care + child Abuse (NC+A) group.

The Kruskal-Wallis test, a non-parametric method for detecting whether three or more samples originate from the same distribution, was used to compare the following variables as a function of the type of care group: PBI, CTQ, RESI-M, AIS, BDI, BAI, subject’s AA, oxytocin and cortisol; afterwards, the Dwass-Steel-Critchlow-Fligner (a two-sided, non-parametric test for contrasting between pairs. It provides family-wise error rate protection) pairwise comparisons were performed. These statistical analyses were carried out using the Jamovi v.1.1.9 software (The jamovi project, 2021).

The chi-square test for independence was performed by using the software from Preacher (2001) to detect associations between frequency of drug intake, severity of depression and anxiety, and insomnia. For drug intake, subjects were separated according to the frequency with which they consume each drug (never, sometimes, frequently), and with regards to the number of drugs consumed throughout life, they were divided into those who have consumed two or less different drugs and those who have consumed three or more. The depression and anxiety symptoms were associated with the type of group. Subjects were separated depending on the severity of the depression or anxiety symptoms according to the BDI and BAI, respectively. Regarding insomnia, subjects were separated depending to the absence or presence of it, according to the AIS. For the chi-square test for independence analyses, Yates’ correction (Yates, 1934) was applied when frequencies were equal to or less than five.

Finally, odds ratio with 95% confidence intervals were calculated for drug intake, insomnia, severity of depression and anxiety symptoms using the OC group as a reference. The MedCalc Software Ltd (2022). Odds ratio calculator was used for this.

For all analyses, p < 0.05 was considered as significant.

Ethical considerations

The research was approved by the Medicine Research and Ethics Committee by the Facultad de Medicina of the Universidad Nacional Autónoma de México. All participants signed the informed consent. All the procedures followed the ethical standards established in the Declaration of Helsinki (World Medical Association, 2001), and followed the ethical guidelines in Mexico, as established in the NOM-012-SSA3-2012 for research in human beings.

RESULTS

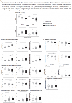
Seventy-one volunteers (61.73%) reported growing up under NC, and thirty-five (30.43%) reported having endured some type of abuse (NC+A). Forty-four volunteers reported growing up under OC provided by both parents. There were no differences in the number of men and women comprising each group (OC: 12/32; NC: 19/17; NC+A: 15/20, respectively; Table 1). Subjects in the OC group had better outcomes in PBI, CTQ, BAI, BDI, AIS, RESI-M and AA compared to those in the NC and NC+A groups (Table 1, Fig. 1). No differences were observed among groups in oxytocin or cortisol measures (Table 1, Figura 1).

A two-way analysis of variance, including type of care by sex factors, was performed to test the influence of the latter on the levels of the hormones measured; no interaction was significant for any hormone (oxytocin: p = 0.76; cortisol: p = 0.22).

No differences between groups were found in the consumption of tobacco, alcohol, or cannabis (p < 0.05) or in the frequency of individuals who reported consumption of any type of drug (p < 0.05). However, the total number of drugs consumed throughout life was significantly dependent on the group (χ24 = 7.85, p = 0.02), i.e., NC+A vs. OC for two or less drugs consumed (χ2 = 6.19, p = 0.01, Figure 2A). Furthermore, NC+A was detected as a risk factor for consuming three or more drugs throughout life (OR = 3.44; CI 95% = 1.38-8.59; z = 2.65, p = 0.008) as compared to OC.

The presence of insomnia was dependent on type of care (χ22 = 7.80, p = 0.02). In the OC group there were less individuals with insomnia (p = 0.003). No differences were detected in NC and NC+A groups as to the frequency of having or not having insomnia (NC: p = 0.11; and NC+A: p = 0.30). Consistently, the NC+A group was the one with the lowest number of individuals who did not present insomnia compared to the OC group (0.008). No other difference was observed (Figure 2). Odds ratio analysis showed that NC+A seems to be a risk factor for suffering insomnia
(OR = 3.81; CI 95% = 1.47-9.87; z = 2.75, p = 0.006).

On the other hand, the severity of depression was dependent on the type of care (χ24 = 13.66, p = 0.008). There was a greater number of participants in the OC group who exhibited lower depression scores compared with NC (p = 0.03) and NC+A (p = 0.0001) groups. In turn, there was a higher number of participants in the NC+A group exhibiting mild symptoms of depression than in the OC group (p = 0.003). No differences were found among the groups for moderate and severe depression symptoms (Figure 2C). Furthermore, NC and NC+A were detected as risk factors for suffering mild to severe depression symptoms (NC: OR = 4.96; CI 95% = 1.58-15.63; z = 2.74, p = 0.006; NC+A: OR = 9.26; CI 95% = 2.95-29.08; z = 3.81, p = 0.001) when compared to OC.

Finally, regarding anxiety, its severity was also dependent on the type of care (χ24 = 14.87, p = 0.02). The number of individuals in the OC group with minimal severity was statistically greater than those in the NC (p = 0.03) and NC+A (p = 0.001) groups (Figure 2D). Likewise, both NC and NC+A were identified as risk factors for suffering mild to severe anxiety symptoms (NC: OR = 3.48; CI 95% = 1.30-9.29; z = 2.49, p = 0.01; NC+A: OR = 6.58; CI 95% = 2.41-17.95; z = 3.68, p = 0.0002) when compared to the OC.

DISCUSSION AND CONCLUSSIONS

In short, these results further support the notion that reassuring parent-child points provide children with skills to cope with social and academic demands throughout life, as it is suggested by the scores in the RESI-M and the AA. Similarly, points reduce the likelihood of developing psychiatric symptoms, like depression, anxiety, insomnia and use and abuse of substances. The lack of differences in the two hormones measured among groups prevented any conclusion about the allostatic load in the study due to the high variability found (Danese et al., 2009; Danese & McEwen, 2012). However, since the sample was too small, we do not rule out potential differences that will be revealed with a larger sample.

Extreme adverse psychosocial conditions as the ones reported in this study strengthen synapsis belonging to the defense system making it exceedingly sensitive to stressors (Prospéro-García et al., 2021) as it has been suggested in humans (Dunn et al., 2019; Sumner et al., 2022) and in animals (Amancio-Belmont et al., 2020; Romano-López et al., 2012). Therefore, a person who has suffered from a very adverse life experience (Juster et al., 2010) or animals subjected to early-life stress, in experimental conditions (Amancio-Belmont et al., 2020; Romano-López et al., 2012) will overreact to stressors that are easily handled by subjects without such an adverse experience. Generalization of the original stressor that caused the negative emotion in the subject will cause even harmless stressors to be perceived as threats (Davydov, 1988; Tateo, 2016).

Several studies have shown that the human brain continues to mature after birth. For the most people, this process ends between the ages of 25 and 30 (Di Martino et al., 2014; Gogtay et al., 2004; Sawyer et al., 2018). During this time, psychosocial interactions play a key role in reprogramming the connectome (Bennett et al., 2018; Changeux & Danchin, 1976; Vaiserman, 2015). Although the connectome is inflexible in some parts, in others it is highly plastic (Bennett et al., 2018), therefore it is subject to be shaped by experience, adjusting the subject’s fitness to endure environmental demands (Choi et al., 2018; 2021). In this study, it has been shown that all the young adults that referred to have been raised with points exhibit adaptive strategies, such as better AA and resilience, as well as fewer propensities to psychiatric disorders.

The connectome is modified by the sprouting of new synapses, as it occurs between the ages of 8 and 13, followed by a pruning of synapses that were not strengthened (Huttenlocher & Dabholkar, 1997; Petanjek et al., 2011). All these dynamic changes that take place during childhood and adolescence adjust the connectome to successfully adapt the subject in the face of adversity (Gee et al., 2014); any stressful experience will have its imprint in the connectome, affecting the subject’s thoughts, emotions, and behavior.

In this context, it is important to realize that children’s attachment to their parents is because they consider them a source of protection (Meins et al., 2018; Tottenham et al., 2019). The results presented here support that when this expected protection happens, children grow up to emerge as adults (Arnett, 2007) with less severity of, or even absence of psychiatric symptoms, with self-confidence and ready to cope with social and academic demands, as some other studies have suggested (Tottenham et al., 2019). When parents do not provide their children this expected protection and even neglect or abuse them, children develop pathological fears that may lead to depression and anxiety (Danese et al., 2009; Danese & McEwen, 2012). Currently, the comorbidity of depression and anxiety with insomnia and drug intake is high (National Institutes on Drug Abuse (NIDA), 2020), therefore, it is crucial to determine to what an extent does proper care of children would prevent the development of psychiatric symptoms, even in the case where children may have inherited genes that make them vulnerable to such psychiatric disorders.

Among the limitations of the present study is the fact that the sample was restricted to college students; hence, there were no subjects in this sample who had dropped out of school. This type of subjects may help reveal the impact that early parent-child no-points may have on AA. Another limitation is the lack of evaluation of substance abuse disorder in the sample. To expand the study, volunteers with these features are being recruited.

In conclusion, points strengthen resilience and academic achievement, protect from suffering certain psychiatric disorders such as depression, anxiety and insomnia, and lessen the risk, as suggested by the low frequency of drug intake, of the development of a substance abuse disorder.

Several studies have indicated that early-life parent-child points foster healthy attitudes in the face of stressful daily life situations and thus social competence (Compas et al., 2001; Eisenberg et al., 2003; Smith et al., 2006). In contrast, no-points induced by early-life distressing experiences, such as ineffective or uncaring parenting, make subjects generate adaptive behaviors as part of coping strategies for such stressors which may become predictors of psychiatric disorders as depression, anxiety, sleep disorders, among others (Doll & Lyon, 1998; Kritzas & Grobler, 2005; Wagner et al., 1996). Similarly, no-points foster the use and abuse of drugs in a way that facilitates addiction (Prospéro-García et al., 2021). Hence, children reared under some type of abuse or traumatic experiences are vulnerable to suffering from psychiatric disorders and other negative outcomes as adults (Marshall et al., 2020).

CONFLICT OF INTEREST

The authors declare no competing interests.

FINANCING

This work was supported by the Dirección General de Asuntos del Personal Académico-Programa de Apoyo a Proyectos de Investigación e Innovación Tecnológica, Universidad Nacional Autónoma de México (DGAPA-PAPIIT- UNAM), grant numbers: IN202228, IN217221 to Oscar E. Prospéro-García and Alejandra E. Ruiz-Contreras.

ACKNOWLEDGEMENTS

We would like to thank Edith Monroy for her careful editing of the English language manuscript.

REFERENCES

Amancio-Belmont, O., Becerril, A. L., Ruiz-Contreras, A. E., Méndez-Díaz, M., & Prospéro-García, O. (2020). Maternal separation plus social isolation during adolescence reprogram brain dopamine and endocannabinoid systems and facilitate alcohol intake in rats. Brain Research Bulletin, 164, 21-28. https://doi.org/10.1016/j.brainresbull.2020.08.002

Arnett, J. J. (2007). Emerging Adulthood: What Is It, and What Is It Good For? Child Development Perspectives, 1(2), 68-73. https://doi.org/10.1111/j.1750-8606.2007.00016.x

Barker, E. D. (2018). Epigenetics, Early Adversity and Child and Adolescent Mental Health. Psychopathology, 51(2), 71-75. https://doi.org/10.1159/000486683

Beck, A. T. (1963). Thinking and Depression. I. Idiosyncratic Content and Cognitive Distortions. Archives of General Psychiatry, 9(4), 324-333. https://doi.org/10.1001/archpsyc.1963.01720160014002

Bennett, S. H., Kirby, A. J., & Finnerty, G. T. (2018). Rewiring the connectome: Evidence and effects. Neuroscience & Biobehavioral Reviews, 88, 51-62. https://doi.org/10.1016/j.neubiorev.2018.03.001

Bernstein, D. P., Fink, L., Handelsman, L., & Foote, J. (1994). Childhood Trauma Questionnaire (CTQ) [Database record]. APA PsychTests. https://doi.org/10.1037/t02080-000

Bhake, R. C., Kluckner, V., Stassen, H., Russell, G. M., Leendertz, J., Stevens, K., Linthorst, A. C. E., & Lightman, S. L. (2019). Continuous Free Cortisol Profiles—Circadian Rhythms in Healthy Men. The Journal of Clinical Endocrinology & Metabolism, 104(12), 5935-5947. https://doi.org/10.1210/jc.2019-00449

Changeux, J. P., & Danchin, A. (1976). Selective stabilisation of developing synapses as a mechanism for the specification of neuronal networks. Nature, 264(5588), 705-712. https://doi.org/10.1038/264705a0

Choi, E. J., Taylor, M. J., Hong, S. B., Kim, C., & Yi, S. H. (2018). The neural correlates of attachment security in typically developing children. Brain and Cognition, 124, 47-56. https://doi.org/10.1016/j.bandc.2018.04.003

Choi, E. J., Taylor, M. J., Vandewouw, M. M., Hong, S. B., Kim, C., & Yi, S. H. (2021). Attachment security and striatal functional connectivity in typically developing children. Developmental Cognitive Neuroscience, 48, 100914. https://doi.org/10.1016/j.dcn.2021.100914

Compas, B. E., Connor-Smith, J. K., Saltzman, H., Thomsen, A. H., & Wadsworth, M. E. (2001). Coping with stress during childhood and adolescence: problems, progress, and potential in theory and research. Psychological Bulletin, 127(1), 87-127.

Cyrulnik, B. (2021). Narrative Resilience: Neurological and Psychotherapeutic Reflections. In M. Ungar (Ed.). Multisystemic Resilience: Adaptation and Transformation in Contexts of Change (pp. 100-110). Oxford University Press. doi: 10.1093/oso/9780190095888.003.0006

Danese, A., & McEwen, B. S. (2012). Adverse childhood experiences, allostasis, allostatic load, and age-related disease. Physiology & Behavior, 106(1), 29-39. https://doi.org/10.1016/j.physbeh.2011.08.019

Danese, A., Moffitt, T. E., Harrington, H., Milne, B. J., Polanczyk, G., Pariante, C. M., Poulton, R., & Caspi, A. (2009). Adverse Childhood Experiences and Adult Risk Factors for Age-Related Disease: Depression, Inflammation, and Clustering of Metabolic Risk Markers. Archives of Pediatrics & Adolescent Medicine, 163(12), 1135-1143. https://doi.org/10.1001/archpediatrics.2009.214

Davydov, V. V. (1988). The concept of theoretical generalization and problems of educational psychology. Studies in Soviet Thought, 36(3), 169-202. https://doi.org/10.1007/BF01043781

Di Martino, A., Fair, D. A., Kelly, C., Satterthwaite, T. D., Castellanos, F. X., Thomason, M. E., Craddock, R. C., Luna, B., Leventhal, B. L., Zuo, X. N., & Milham, M. P. (2014). Unraveling the Miswired Connectome: A Developmental Perspective. Neuron, 83(6), 1335-1353. https://doi.org/10.1016/j.neuron.2014.08.050

Doll, B., & Lyon, M. A. (1998). Risk and Resilience: Implications for the Delivery of Educational and Mental Health Services in Schools. School Psychology Review, 27(3), 348-363. https://doi.org/10.1080/02796015.1998.12085921

Dunbar, R. I. M. (2016). The Social Brain Hypothesis and Human Evolution. Oxford Research Encyclopedia of Psychology. Oxford University Press. https://doi.org/10.1093/acrefore/9780190236557.013.44

Dunn, E. C., Soare, T. W., Zhu, Y., Simpkin, A. J., Suderman, M. J., Klengel, T., Smith, A. D. A. C., Ressler, K. J., & Relton, C. L. (2019). Sensitive Periods for the Effect of Childhood Adversity on DNA Methylation: Results From a Prospective, Longitudinal Study. Biological Psychiatry, 85(10), 838-849. https://doi.org/10.1016/j.biopsych.2018.12.023

Eisenberg, N., Valiente, C., Morris, A. S., Fabes, R. A., Cumberland, A., Reiser, M., Gershoff, E. T., Shepard, S. A., & Losoya, S. (2003). Longitudinal relations among parental emotional expressivity, children’s regulation, and quality of socioemotional functioning. Developmental Psychology, 39(1), 3-19. https://doi.org/10.1037/0012-1649.39.1.3

Ferrando, L., Bobes, J., Gibert, J., Soto, M., & Soto, O. (2000). 1.1. MINI Entrevista Neuropsiquiátrica Internacional (MINI International Neuropsychiatric Interview, MINI). Instrumentos de Detección y Orientación Diagnóstica, 1-25.

Gee, D. G., Gabard-Durnam, L., Telzer, E. H., Humphreys, K. L., Goff, B., Shapiro, M., Flannery, J., Lumian, D. S., Fareri, D. S., Caldera, C., & Tottenham, N. (2014). Maternal Buffering of Human Amygdala-Prefrontal Circuitry During Childhood but Not During Adolescence. Psychological Science, 25(11), 2067-2078. https://doi.org/10.1177/0956797614550878

Gogtay, N., Giedd, J. N., Lusk, L., Hayashi, K. M., Greenstein, D., Vaituzis, A. C., Nugent, T. F., Herman, D. H., Clasen, L. S., Toga, A. W., Rapoport, J. L., & Thompson, P. M. (2004). Dynamic mapping of human cortical development during childhood through early adulthood. Proceedings of the National Academy of Sciences of the United States of America, 101(21), 8174-8179. https://doi.org/10.1073/pnas.0402680101

Huttenlocher, P. R., & Dabholkar, A. S. (1997). Regional differences in synaptogenesis in human cerebral cortex. The Journal of Comparative Neurology, 387(2), 167-178. https://doi.org/10.1002/(sici)1096-9861(19971020)387:23.0.co;2-z

Jurado, S., Villegas, M. E., Méndez, L., Rodríguez, F., Loperena, V., & Varela, R. (1998). La estandarización del Inventario de Depresión de Beck para los residentes de la Ciudad de México. Salud Mental, 21(3), 26-31.

Juster, R. P., McEwen, B. S., & Lupien, S. J. (2010). Allostatic load biomarkers of chronic stress and impact on health and cognition. Neuroscience & Biobehavioral Reviews, 35(1), 2-16. https://doi.org/10.1016/j.neubiorev.2009.10.002

Kagerbauer, S. M., Debus, J. M., Martin, J., Gempt, J., Jungwirth, B., Hapfelmeier, A., & Podtschaske, A. H. (2019). Absence of a diurnal rhythm of oxytocin and arginine-vasopressin in human cerebrospinal fluid, blood and saliva. Neuropeptides, 78, 101977. https://doi.org/10.1016/j.npep.2019.101977

Kilford, E. J., Garrett, E., & Blakemore, S. J. (2016). The development of social cognition in adolescence: An integrated perspective. Neuroscience & Biobehavioral Reviews, 70, 106-120. https://doi.org/10.1016/j.neubiorev.2016.08.016

Kritzas, N., & Grobler, A. A. (2005). The relationship between perceived parenting styles and resilience during adolescence. Journal of Child & Adolescent Mental Health, 17(1), 1-12. https://doi.org/10.2989/17280580509486586

Marshall, C., Semovski, V., & Stewart, S. L. (2020). Exposure to childhood interpersonal trauma and mental health service urgency. Child Abuse & Neglect, 106, 104464. https://doi.org/10.1016/j.chiabu.2020.104464

McEwen, B. S. (2003). Mood disorders and allostatic load. Biological Psychiatry, 54(3), 200-207. https://doi.org/10.1016/S0006-3223(03)00177-X

MedCalc Software Ltd. (2022). Odds ratio calculator. Version 20.009. Recuperado el 24 de julio, 2022 https://www.medcalc.org/calc/odds_ratio.php

Meins, E., Bureau, J. F., & Fernyhough, C. (2018). Mother-Child Attachment From Infancy to the Preschool Years: Predicting Security and Stability. Child Development, 89(3), 1022-1038. https://doi.org/10.1111/cdev.12778

Melis, F., Dávila, M. Á., Ormeño, V., Vera, V., Greppi, C., & Gloger, S. (2001). Estandarización del P.B.I. (Parental Bonding Instrument), versión adaptada a la población entre 16 y 64 años del Gran Santiago. Revista Chilena de Neuro-Psiquiatría, 39(2), 132-139. https://doi.org/10.4067/S0717-92272001000200005

Mezquita, L. (2011). El papel del maltrato, la personalidad y los motivos en el consumo de alcohol: un estudio prospectivo de cinco años en adultos jóvenes [Tesis doctoral]. Universitat Jaume.

National Institutes on Drug Abuse [NIDA]. (2020). Common Comorbidities with Substance Use Disorders Research Report. National Institutes on Drug Abuse. https://www.ncbi.nlm.nih.gov/books/NBK571451/

Nenclares, A., & Jiménez-Genchi, A. (2005). Estudio de validación de la traducción al español de la Escala Atenas de Insomnio. Salud Mental, 28(5), 34-39.

Palomar, J., & Gómez, N. E. (2010). Desarrollo de una escala de medición de la resiliencia con mexicanos (RESI-M). Interdisciplinaria, 27(1), 7-22.

Parker, G., Tupling, H., & Brown, L. B. (1979). A Parental Bonding Instrument. British Journal of Medical Psychology, 52(1), 1-10. https://doi.org/10.1111/j.2044-8341.1979.tb02487.x

Petanjek, Z., Judaš, M., Šimić, G., Rašin, M. R., Uylings, H. B. M., Rakic, P., & Kostović, I. (2011). Extraordinary neoteny of synaptic spines in the human prefrontal cortex. Proceedings of the National Academy of Sciences of the United States of America, 108(32), 13281-13286. https://doi.org/10.1073/pnas.1105108108

Preacher, K. J. (2001). Calculation for the chi-square test: An interactive calculation tool for chi-square tests of goodness of fit and independence (Computer software). Recuperado el 24 de julio de 2022. http://quantpsy.org.

Prospéro-García, O. E., Ruiz-Contreras, A. E., Morelos, J., Herrera-Solis, A., & Mendez-Díaz, M. (2021). Fragility of reward vs antifragility of defense brain systems in drug dependence. Social Neuroscience, 16(2), 145-152. https://doi.org/10.1080/17470919.2021.1876759

Robles, R., Varela, R., Jurado, S., & Páez, F. (2001). Versión mexicana del inventario de ansiedad de Beck: propiedades psicométricas. Revista Mexicana de Psicología, 18(2), 211-218. https://biblat.unam.mx/en/revista/revista-mexicana-de-psicologia/articulo/version-mexicana-del-inventario-de-ansiedad-de-beck-propiedades-psicometricas

Romano-López, A., Méndez-Díaz, M., Ruiz-Contreras, A. E., Carrisoza, R., & Prospéro-García, O. (2012). Maternal separation and proclivity for ethanol intake: A potential role of the endocannabinoid system in rats. Neuroscience, 223, 296-304. https://doi.org/10.1016/j.neuroscience.2012.07.071

Saavedra, K., Molina-Márquez, A. M., Saavedra, N., Zambrano, T., & Salazar, L. A. (2016). Epigenetic Modifications of Major Depressive Disorder. International Journal of Molecular Sciences, 17(8), 1279. https://doi.org/10.3390/ijms17081279

Sawyer, S. M., Azzopardi, P. S., Wickremarathne, D., & Patton, G. C. (2018). The age of adolescence. The Lancet Child & Adolescent Health, 2(3), 223-228. https://doi.org/10.1016/S2352-4642(18)30022-1

Secretaría de Salud. (s.f.). Norma Oficial Mexicana NOM-012-SSA3-2012, por la que establece los criterios para la ejecución de proyectos de investigación para la salud en seres humanos. (NOM-012-SSA3-2012).

Smith, C. L., Eisenberg, N., Spinrad, T. L., Chassin, L., Sheffield, A., Kupfer, A., Liew, J., Cumberland, A., Valiente, C., & Kwok, O. M. (2006). Children’s coping strategies and coping efficacy: Relations to parent socialization, child adjustment, and familial alcoholism. Development and Psychopathology, 18(2), 445-469. https://doi.org/10.1017/S095457940606024X

Sumner, J. A., Gambazza, S., Gao, X., Baccarelli, A. A., Uddin, M., & McLaughlin, K. A. (2022). Epigenetics of early-life adversity in youth: cross-sectional and longitudinal associations. Clinical Epigenetics, 14(1). https://doi.org/10.1186/s13148-022-01269-9

Tateo, L. (2016). The Nature of Generalization in Psychology. In Reflexivity and Psychology. En G. Marsico, R. AndrisanoRuggieri, & S. Salvatore (Eds.). Reflexivity and Psychology (pp. 45-64). Charlotte: Information Age Publishing.

The jamovi project. (2021). jamovi (Version 1.1.9) [Computer Software]. Recuperado de https://www.jamovi.org

Tottenham, N., Shapiro, M., Flannery, J., Caldera, C., & Sullivan, R. M. (2019). Parental presence switches avoidance to attraction learning in children. Nature Human Behaviour, 3(10), 1070-1077. https://doi.org/10.1038/s41562-019-0656-9

Vaiserman, A. M. (2015). Epigenetic programming by early-life stress: Evidence from human populations. Developmental Dynamics, 244(3), 254-265. https://doi.org/10.1002/dvdy.24211

Wagner, B. M., Cohen, P., & Brook, J. S. (1996). Parent/Adolescent Relationships: Moderators of the Effects of Stressful Life Events. Journal of Adolescent Research, 11(3), 347-374. https://doi.org/10.1177/0743554896113005

Weaver, I. C. G., Cervoni, N., Champagne, F. A., D’Alessio, A. C., Sharma, S., Seckl, J. R., Dymov, S., Szyf, M., & Meaney, M. J. (2004). Epigenetic programming by maternal behavior. Nature Neuroscience, 7(8), 847-854. https://doi.org/10.1038/nn1276

World Medical Association. (2001). World Medical Association Declaration of Helsinki. Ethical principles for medical research involving human subjects. Bulletin of the World Health Organization, 79(4), 373-374. World Health Organization. https://apps.who.int/iris/handle/10665/268312

Yates, F. (1934). Contingency table involving small numbers and the χ2 test. Supplement to the Journal of the Royal Statistical Society, 1(2), 217-235.

Licencia Creative Commons